所在位置: 首页 > 习题测试 > 执业药师考试模拟练习题
执业药师药物化学模拟题(二)
执业药师药物化学模拟题(二)
一、A型题(最佳选择题),每题1分。每题的备选答案中只有一个最佳答案。
1、经过化学结构修饰后得到的药物称为
A、软药
B、原药
C、前药
D、硬药
E、药物载体
2、将阿斯匹林制成贝诺酯,其修饰的主要目的是
A、提高药物的稳定性
B、降低药物的毒副作用
C、延长药物的作用时间
D、改善药物的溶解性能
E、消除不良气味
3、下列哪种不属于天然活性药物质中发现先导化合物
A、植物有效成分
B、微生物
C、海洋生物
D、次生代谢物
E、代谢产物
4、可使药物的亲脂性增加的基团是
A、氨基
B、羧基
C、羟基
D、磺酸基
E、烃基
5、下列哪个反应不属于药物代谢的官能团化反应
A、氧化
B、还原
C、水解
D、乙酰化
E、羟基化
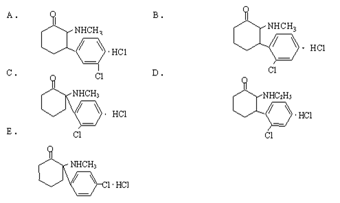
6、盐酸氯胺酮的化学结构是

7、与阿斯匹林性质不符的是
A、白色结晶,味酸,微溶于水 来源:考试大
B、与FeCl3试剂显紫红色
C、遇酸加热后具醋酸味
D、具有水解性
E、可溶于Na2CO3溶液
8、甲硝唑的化学结构是

9、抗疟药磷酸氯喹是
A、8-氨基喹啉衍生物
B、6-氨基喹啉衍生物
C、4-氨基喹啉衍生物
D、2-氨基喹啉衍生物 来源:考试大
E、2,4-二氨基喹啉衍生物
10、与利福平叙述不符的是
A、易被亚硝酸氧化
B、为半合成抗生素
C、遇光易变质
D、与异烟肼、乙胺丁醇合用有协同作用
E、对第八对脑神经有显著的损害
11、下列哪个药物是HMG-CoA还原酶抑制剂
A、洛伐他汀
B、卡托普利
C、氨力农
D、乙胺嘧啶
E、普萘洛尔
12、布落芬的化学结构是

13、过量服用对乙酰氨基酚会出现毒性反应,应及早使用的解药是
A、乙酰半胱氨酸
B、半胱氨酸
C、谷氨酸
D、谷胱甘肽
E、酰甘氨酸
14、阿司匹林中能引起过敏反应的杂质是
A、醋酸苯酯
B、水杨酸
C、乙酰水杨酸酐
D、乙酰水杨酸苯酯
E、水杨酸苯酯
15、对盐酸可乐定阐述不正确的是
A、α2受体激动剂
B、抗高血压药物 来源:考试大
C、分子结构中含2,6-二氯苯基
D、分子结构中含噻唑环
E、分子有互变异构体
16、可能成为制冰毒的原料的药物是
A、盐酸哌替啶
B、盐酸伪麻黄碱
C、盐酸克伦特罗
D、盐酸普萘洛尔
E、阿替洛尔
17、西咪替丁
A、对热不稳定
B、在过量的酸中比较稳定
C、口服吸收不好,只能注射给药
D、与雌激素受体有亲和作用而产副反应
E、极性小,脂溶性较大
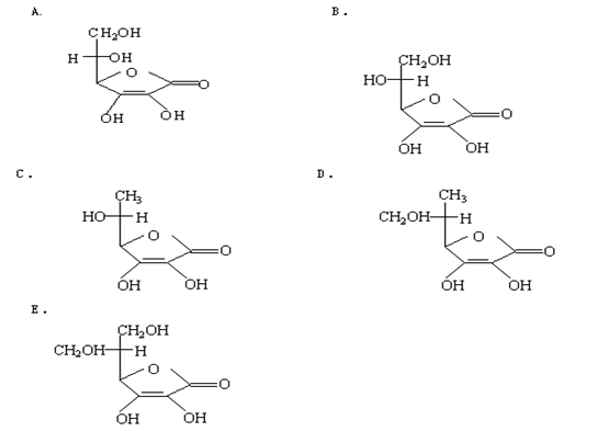
18、青蒿素的化学结构是
19、不含咪唑环的抗真菌药物是
A、酮康唑
B、克霉唑
C、伊曲康唑
D、咪康唑
E、噻康唑
20、引起青霉素过敏的主要原因是
A、青霉素本身为过敏源 来源:考试大
B、合成、生产过程中引入的杂质青霉素噻唑等高聚物
C、青霉素与蛋白质反应物
D、青霉素的水解物
E、青霉素的侧部分结构所致
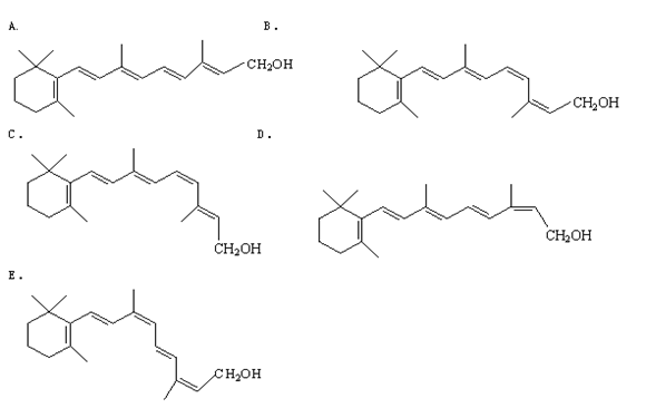
21、维生素A异构体中活性最强的结构是

22、苯妥英钠属于下列哪一类抗癫痫药
A、巴比妥类
B、丁二酰亚胺类
C、苯二氮
类
D、乙内酰脲类
E、二苯并氮杂
类
23、下列哪个与吗啡不符
A、结构中有醇羟基
B、结构中有苯环
C、结构中有羰基
D、结构中有手性碳原子
E、为μ阿片受体激动剂
24、以下对哌替啶描述错误的是
A、易吸潮,遇光易变质
B、又名度冷丁
C、口服生物利用度约为50%,需注射给药
D、分子中有酯键,易被水解失效
E、体内代谢生成的去甲哌替啶,惊厥作用大2倍,产生毒性
25、吗啡易被氧化变色是由于分子结构中含有以下哪种基团
A、醇羟基
B、双键
C、醚键
D、哌啶环
E、酚羟基
26、下列哪种性质与硫酸阿托品相符
A、易溶于水,其水溶液呈中性
B、易溶于水,其水溶液呈酸性
C、具左旋光性
D、化学性质稳定,不易水解
E、临床上用作肌肉松弛药
27、阿托品在碱性水溶液中易被水解,这是因为化学结构中含有以下哪种结构
A、酰胺键
B、内酯键
C、酰亚胺键
D、酯键
E、内酰胺键
28、分子中含有巯基的祛痰药是
A、盐酸溴己新
B、硫酸苯丙哌林
C、羧甲司坦
D、盐酸氨溴索
E、乙酰半胱氨酸
29、关于奥美拉唑的叙述,下列哪项是错误的
A、本身无活性
B、为两性化合物
C、经H+催化重排为活性物质
D、质子泵抑制剂
E、抗组胺药
30、下列药物中哪个不含有羧基,却具有酸性
A、阿司匹林
B、吡罗昔康
C、布洛芬
D、双氯芬酸
E、吲哚美辛
31、下列哪种性质与布洛芬相符
A、在酸性或碱性条件下均易水解
B、结构中含有手性中心,临床上用其R异构体
C、易溶于水,味微苦
D、可溶于NaOH或Na2CO3水溶液中
E、在空气中放置可被氧化,颜色可发生变化
32、不符合对乙氨基酚的描述是
A、pH 6时最稳定
B、暴露在潮湿条件下,颜色会逐渐变深
C、代谢产物之一是N-羟基衍生物,有毒性反应,应服用N-乙酰半胱氨酸对抗
D、可以抑制血小板凝聚
E、加FeCl3显紫色
33、下列药物中哪个遇三氯化铁显蓝紫色
A、布洛芬
B、对乙酰氨基酚
C、双氯芬酸
D、萘普生
E、酮洛芬
34、具有下列化学结构的药物是
A、阿司匹林
B、安乃近
C、吲哚美辛
D、对乙酰氨基酚
E、贝诺酯
35、下列激素类药物中不能口服的是
A、雌二醇
B、炔雌醇
C、己烯雌酚
D、炔诺酮
E、左炔诺孕酮
二、B型题(配伍选择题),每题0.5分。每组2~4试题。每组题均对应同一组备选答案,每题只有一个正确答案。每个备选答案可重复选用也可不选用。
[1-3]
A、桂利嗪 B、氢氯噻嗪
C、己烯雌酚 D、依他尼酸 E、螺内酯
1、含有甾体结构的药物是
2、含有双磺酰胺结构的药物是
3、含有单磺酰胺结构的药物是
[4-5]
4、抗坏血酸的结构式是
5、异抗坏血酸的结构式是
[6-7]
A、溶解度 B、ED50
C、1Gp D、解离度 E、H
6、药物在非水相(脂相)中量浓度与在水相中的量浓度之比
7、不同情况会直接影响药物的解离度
[8-10]
A、成酰胺修饰 B、成环修饰
C、开环修饰 D、成酯修饰 E、成酯或酰胺
8、对药物氨基的修饰通常用
9、对药物羧基的修饰通常用
10、对药物羟基的修饰通常用
[11-14]
A、阿莫西林 B、青霉素
C、氧氟沙星 D、头孢噻肟钠 E、盐酸吗啡
11、含2个手性碳的药物
12、含3个手性碳的药物
13、含4个手性碳的药物
14、含5个手性碳的药物
[15-18]
A、哌拉西林 B、阿米卡星
C、红霉素 D、多西环素 E、磷霉素
15.氨基糖苷类抗生素
16.四环素类抗生素
17.大环内酯类抗生素
18.β-内酰胺类抗生素
[19-20]
A、维生素A B、维生素B1
C、维生素K3 D、维生素B2 E、维生素B6
19、治疗舌炎、唇炎、脂溢性皮炎等
20、治疗干眼症、夜盲症、皮肤干燥、角膜软化症等
三、X型题(多项选择题),每题1分。每题的备选答案中有2个或2个以上正确答案,少选或多选均不得分。
1、维生素C具有哪些性质来源:考试大
A、显酸性
B、具有旋光性,药用L(+)
C、具水解性
D、具有较强的还原性
E、制剂变色是由于贮存不当,产生糠醛的缘故
2、药物化学结构修饰的目的是
A、增加适应症
B、降低毒副作用
C、提高稳定性
D、延效
E、提高生物利用度
3、含有羧基的药物可进行哪些结构修饰
A、成酯
B、成盐
C、成酰胺
D、成环
E、成醚
4、先导化合物优化的方法有
A、生物电子等排原理
B、抗代谢原理
C、前药原理
D、软药原理
E、受体原理
5、手性药物的对映异构体之间可能
A、具有等同药理活性和强度
B、产生相同的药理活性,但强弱不同
C、一个有活性,一个没有活性
D、产生相反的活性
E、产生不同类型的药理活性
6、含有氢化噻唑环的药物有
A、氨苄西林
B、阿莫西林
C、头孢哌酮
D、头孢克洛
E、哌拉西林
7、有关维生素B1的性质,正确叙述的有
A、固态时不稳定
B、碱性溶液中很快分解
C、是一个酸性药物
D、可被空气氧化
E、体内易被硫胺破坏
8、药物成盐修饰的作用有
A、产生较理想的药理作用
B、调节适当的pH值
C、有良好的溶解性
D、降低对机体的刺激性
E、提高药物脂溶性
9、药物代谢中的第I相生物转化包括
A、氧化反应
B、还原反应
C、结合反应
D、水解反应
E、脱烷基反应
10、以下哪些概念是正确的
A、药物按作用方式分为结构非特异性药物和结构特异性药物两类
B、多数药物属于结构非特异性药物
C、多数药物属于结构特异性药物
D、全身麻醉药属结构特异性药物.
E、吗啡属于结构特异性药物